
1. 오늘의 학습 키워드
[프로그래머스] 가장 먼 노드 자바 풀이
그래프
2. 오늘의 학습 문제
문제
https://school.programmers.co.kr/learn/courses/30/lessons/49189
프로그래머스
코드 중심의 개발자 채용. 스택 기반의 포지션 매칭. 프로그래머스의 개발자 맞춤형 프로필을 등록하고, 나와 기술 궁합이 잘 맞는 기업들을 매칭 받으세요.
programmers.co.kr
n개의 노드가 있는 그래프가 있습니다. 각 노드는 1부터 n까지 번호가 적혀있습니다. 1번 노드에서 가장 멀리 떨어진 노드의 갯수를 구하려고 합니다. 가장 멀리 떨어진 노드란 최단경로로 이동했을 때 간선의 개수가 가장 많은 노드들을 의미합니다.
노드의 개수 n, 간선에 대한 정보가 담긴 2차원 배열 vertex가 매개변수로 주어질 때, 1번 노드로부터 가장 멀리 떨어진 노드가 몇 개인지를 return 하도록 solution 함수를 작성해주세요.
제한사항
- 노드의 개수 n은 2 이상 20,000 이하입니다.
- 간선은 양방향이며 총 1개 이상 50,000개 이하의 간선이 있습니다.
- vertex 배열 각 행 [a, b]는 a번 노드와 b번 노드 사이에 간선이 있다는 의미입니다.
입출력 예

nvertexreturn
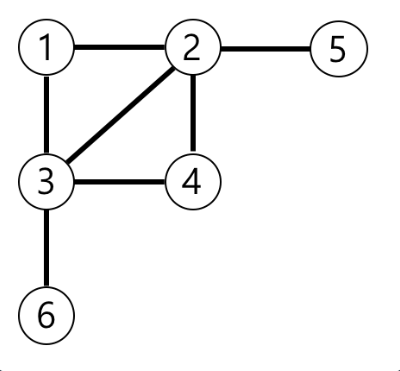
| 6 | [[3, 6], [4, 3], [3, 2], [1, 3], [1, 2], [2, 4], [5, 2]] | 3 |
예제의 그래프를 표현하면 위 그림과 같고, 1번 노드에서 가장 멀리 떨어진 노드는 4,5,6번 노드입니다.
코드
import java.util.*;
class Solution {
static Map<Integer, Integer > map; //노드: 1과 연결된 간선 해시맵
static int [][] Edge;
static int maxEdge; //최대크기 간선 수
public int solution(int n, int[][] edge) {
//초기화
Edge=edge;
map= new HashMap<Integer,Integer> ();
maxEdge=0;
map.put(1, 0);
for (int[] arr : edge) {
Arrays.sort(arr); //서브배열 오름차순 정렬
}
Arrays.sort(edge, Comparator.comparingInt((int[] o) -> o[0]).thenComparingInt(o -> o[1]));
//Comprator의 compainig 메서드를 이용해 edge 오름차순 정렬
for(int [] arr :edge){
Check(arr[0], arr[1]);//처음 노드 전송
}
int answer = (int) map.values().stream().filter(value -> value == maxEdge).count();
return answer;
}
static public void Check ( int nowNode, int nextNode){
int edgeCnt=0;
int putNode=nextNode; //map에 키로 넣을 노드를 다음노드로.
if(map.containsKey(nowNode)) //현재 노드가 맵에 키로 존재하면
edgeCnt=map.get(nowNode); //현재 노드의 1과 간선 수 반환
else if (map.containsKey(nextNode))
{ //만약 현재노드가 존재하지않다면 nextNode가 존재한다는 것, 현재노드를 추가해줘야함
putNode=nowNode;
edgeCnt=map.get(nextNode);
}
if(!map.containsKey(putNode)){ //putNode 값이 키에 없는 경우 (방문하지 않음)
map.put(putNode, edgeCnt+1 );
if(edgeCnt+1>maxEdge){
maxEdge=edgeCnt+1;
}
}
}
}
*틀린코드
함수를 만들어 for문으로 찾으려했는데 테스트코드는 맞았지만 실패..
내가 생각한방법은, 노드에 대해 1과 얼만큼 떨어져있는지 숫자로 맵에 저장하는 것이었다.
1. edge를 서브배열과 전체배열에 대해 오름차순 정렬한다.
2. 해시맵에 (1, 0) 을 넣어주어 초기화한다. 노드 1은 노드1과 거리가 0이라는 뜻
3. 정렬한 edge에 대하여 for문으로 Check함수를 통해 맵에 노드1과 거리를 추가한다.
4. Check함수에서, 기본으로 현재노드와 연결된 노드에 대해 1과의 거리를 맵에 추가하는 것으로, 현재노드를 키로하여 해당 value+1을 다음노드의 밸류에 넣어준다. 그런데 현재노드가 존재하지 않는 경우 ex ) [1, 3 ] [2,3] 순일때 2는 맵에 존재하지 않음. 노드는 모두 연결되어있기때문에 다음노드는 연결되어있는 것이므로, 현재노드, 다음노드의 value+1를 추가해준다.
4. 넣을 노드 pudNode가 키로 없을때(방문하지 않음) 맵에 추가한다.
그런데!!틀림..
찾아보니 BFS로 풀어야한다고
import java.util.*;
class Solution {
ArrayList<ArrayList<Integer>> graph = new ArrayList<>();
//인접 리스트에 그래프 저장
public int solution(int n, int[][] edge) {
for(int i = 0 ; i <= n ; i++) graph.add(new ArrayList<>());
for (int[] i : edge) {
int v = i[0];
int w = i[1];
graph.get(v).add(w);
graph.get(w).add(v);
}
boolean[] visit = new boolean[n + 1];
return bfs(graph, n, visit);
}
public static int bfs(ArrayList<ArrayList<Integer>> graph, int n, boolean[] visit) {
Queue<int[]> q = new LinkedList<>();
int answer = 0;
q.add(new int[] {1, 0});
visit[1] = true;
int maxDepth = 0;
while(!q.isEmpty()) {
int[] arr = q.poll();
int v = arr[0];
int depth = arr[1];
if(maxDepth == depth) answer++; // 최대 길이 노드라면 answer++;
else if (maxDepth < depth) { // 더 긴 거리에 노드가 있다면 answer = 1, MaxDepth 갱신
maxDepth = depth;
answer = 1;
}
for (int i = 0; i < graph.get(v).size(); i++) {
int w = graph.get(v).get(i); //인접 정점
if (!visit[w]) {
q.add(new int[] { w, depth + 1 });
visit[w] = true;
}
}
}
return answer;
}
}
*풀이 참고
3. 오늘의 회고
- BFS말고 다른 방법으로는 풀지못하는것일까?
- 문제 유형에 맞게 적절한 알고리즘을 선택해야하는데, 다른 방법으로도 풀게 구현할 수는 없을까, 내 능력부족인가..
BFS문제 쉬운 문제를 다시 풀어보기풀음! =>https://pudingcoding.tistory.com/95- 복습할것